
AI 工具的即时满足感太强,很容易上瘾。
随时随地,一想到这会儿自己的 AI 可能处于空闲状态,就总想着得布置点什么任务。

别人手上有土地,所以,当他们发现有自动播种机可以用了,播种速度提高 10 倍,自然会非常积极,这对他们来说简直太有用了。
但是,更多的人,手上根本没有“地”。
因为看见别人更换了自动播种机,自己也很焦虑,想要配置一台,就显得没有意义了。
AI 对于普通人最大的价值,是你手上得先有一块“地”,也就是你得先有自己的生意,然后用 AI 再放大效率。
但是,大部分人,自己并没有一份健康的生意。
惊人的意识实验与精神病患者 —— 如何让 AI 诞生意识?
今天的 AI 技术是人类在仿生学领域的一个伟大成就。
既是仿生,是否能一仿到底,从而让 AI 真正的诞生意识?
为了搞清楚这个问题的思路,就需要思考,人的"意识"到底是什么?
从信息论的角度看:AI很难完全取代程序员
最近看到越来越多乐观的AI文章或视频,他们在预测,认为普通人将很快也能轻易的自定义App,从而不再需要专业的程序员。
但是从信息论的角度来说,这恐怕是难以实现的。
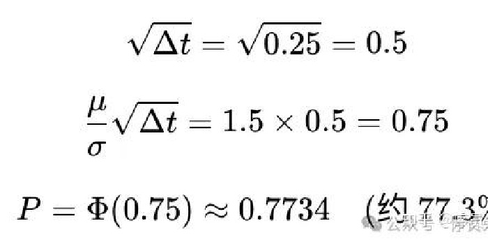
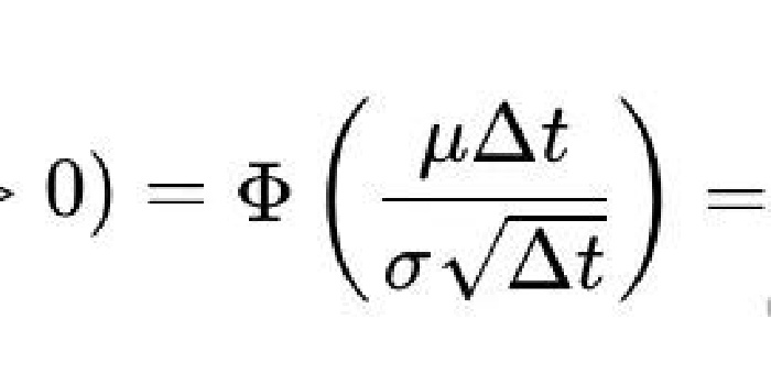
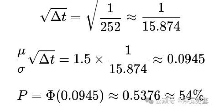
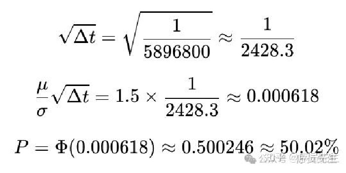
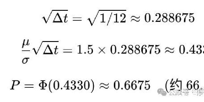
股票看盘越频繁 亏损概率越大 的 数学证明
很多投资经验丰富,收益日趋稳定且丰厚的优秀投资者们,大都不约而同地支持一个观点 —— “减少看盘的频率,能减少亏损的概率。”
单看这个观点的字面含义,是没有逻辑性的。
把什么是价值投资,翻译成大白话
一、 到底什么是价值投资?
到底什么是价值投资?对于很多不求甚解的普通股民来说就是一笔糊涂账。例如 很多明明是赌运气的股民,一旦被套牢后,就选择当鸵鸟,不再看账户了,并将自己的佛系行为解读为“价值投资”,并“坚持”多年,然后发现自己坚持这么久了,依然无法盈利,于是大骂价值投资是骗人的。
如果我们不希望稀里糊涂的赔钱,最好还是要理解清楚到底什么是价值投资。








